
Note: You can multiply all 3 numbers in the fraction individually by a non-zero number(the exact same multiplier for each of the 3 numbers) to get the exact same ratio!

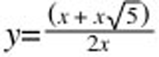
In this function, y will always be equal to φ as long as x ≠ 0!
Note: If you delete the 2 in the denominator of the function, then y will be equal to 1 + √(5), which is phi(φ) times 2!
Also:


P.S.: If the numbers φ3 & 1 swap places with the minus sign in-between them, then you'll get -φ because subtracting bigger numbers from smaller numbers makes the difference negative! (φ3 > 1)
Even more information:

Note: With a minus sign between the 1 & √(5), with √(5) on the right & the 1 on the left, the algebraic fraction is equal to -φ + 1! (If it's vice versa, then the algebraic fraction is equal to φ - 1.)
Here's another fact about Phi: (φ + 1)x = φ2x.
One more fact about Phi: φx = φx-1 + φx-2. Also, φx = φx+2 - φx+1.
Back to Index Page Back to Math Trick Menu
© Derek Cumberbatch